25年の自殺者数は2万人を下回る見込み?統計史上初めて。一方、児童生徒は高水準のまま

 警察庁は、2025年の11月末現在の自殺者数を発表した。これにより、25年の自殺者数は2万人を下回る見込みになった。もし、1万人台となった場合は、統計を開始して以来、初めてになる。一方で、児童生徒の自殺者数は400人前後を維持。高い水準に変化はない。
渋井哲也 2026.01.07
サポートメンバー限定

 2025年の自殺をめぐる動向は、統計史上、最も自殺者数が少ないことになりそうだ。

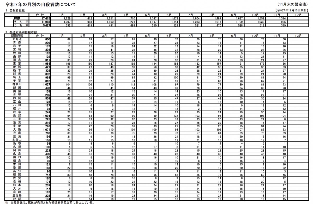
 警察庁は「自殺統計原票」をもとに月別、都道府県別の自殺者数の速報を月ごとに発表している。それによると、2025年の自殺者数を、11月までの推定値から計算すると、2万人を下回ることが見込まれる。推定値から計算される数通りになった場合、警察庁が自殺統計を始めた1978年以降、初めて2万人を割る。1998年から2011年まで3万人台で自殺者数のピークを迎えていたが、12年以降は2万人台になり、25年で初めて1万人台になる。

警察庁の月別自殺者統計

警察庁の月別自殺者統計

この記事はサポートメンバー限定です

続きは、1625文字あります。

下記からメールアドレスを入力し、サポートメンバー登録することで読むことができます

登録する

すでに登録された方はこちら

サポートメンバー限定
新宿・歌舞伎町の生活困窮女性支援に取り組む槇原杏菜さん「『お互いのしん...
サポートメンバー限定
「集合場所に来なかった」中1女子死亡、父が語る「当日」〜2018年・名...
サポートメンバー限定
マッチングアプリでの「独身偽装」の被害で妊娠・出産 被害女性が語る深刻...
読者限定
栃木県立高校のトイレ内での暴行動画がSNSで拡散 県教委が会見 関係者...
サポートメンバー限定
座間9人殺害事件で死刑執行の白石隆浩・元死刑囚が獄中結婚したいと考えて...
サポートメンバー限定
スカウトG「ナチュラル」の犯罪 内部の禁止事項やルール 警察が捜査情報...
読者限定
「明石家サンタ」がないクリスマス・イブ 〜ときには日常の話を〜取材日記...
サポートメンバー限定
「真逆の方向に走り始めている」流行語大賞の「働いて×5」の高市発言 過...